色拉油流量計在油水氣三相計量中應用研究
點擊次數:2453 發布時間:2021-01-19 14:37:19
油井三相流的分離分相計量精度主要是受氣液分離程度和含水率計精度的影響。提出利用同軸線相位法環空找水儀和色拉油流量計的響應函數來控制氣液分離, 其控制是基于神經網絡的自校正控制。含水率測量選用高精度的同軸線相位法含水率計, 這滿足了油井三相流的精確計量要求。
在油田生產過程參數 (如溫度、壓力等) 檢測中, 以流量和各相持率測量非常為復雜, 是較難測量的兩個參數, 引起了工程技術人員的興趣。隨著油田的發展, 被測對象不再局限于單相流, 而要對多相流、混合狀態的流量進行測量。測量多相流的技術難度要比單相流體的精確測量大的多, 知道單相流體的密度、粘度及測量裝置的幾何結構, 便可以對單相流進行定量分析。如果能利用多相流中每一相的上述各物理量對多相流進行測量的話, 就很方便。但很遺憾的是, 多相流體的特性遠比單相流體的特性復雜的多, 如各組分之間不能均勻混合、混合流體的異常性、流型轉變, 相對速度、流體性質、管道結構、流動方向等因素將導致渦輪流量傳感器響應特性的改變。
在單相流的條件下, 渦輪的轉速和流經它的體積流量成一單值線性函數, 在油水兩相流中, 只要流量超過始動流量, 在允許的誤差范圍內, 渦輪的響應和體積流量也是成線性函數。
但在多相流動中, 即使在總流量保持不變的情況下, 混合流體的密度發生變化, 也會引起渦輪轉速的很大變化。混合流體經過氣液分離后, 利用成熟的單相流測量技術和相分率測量技術計量, 因此計量的不確定度主要受氣液分離程度的影響。基于此, 提出利用同軸線含水率計和色拉油流量計的響應函數混合控制氣液分離器方法。
1 工作原理
色拉油流量計是一速度式流量計, 它通過測定流體中渦輪的轉速來反映流量的大小。在管道中心放置一個渦輪, 當流體通過管道時沖擊渦輪葉片, 對渦輪產生驅動力矩, 使渦輪克服阻力矩而產生旋轉。在一定流量、黏度范圍內的流體介質中, 渦輪的旋轉角速度與流體的流速成正比。因此, 流體的流速可以通過渦輪的旋轉角速度求得, 進而通過換算可得出通過管道的流體流量。氣液兩相流時, 由于相比液相的速度高, 所以測量結果增大。同軸線相位法環空找水儀是通過測量電磁波在油水混合介質中傳播的相位差來測量含水率。當有氣的時候, 氣液混合介質的介電常數的增大, 使得同軸線相位法環空找水儀的響應值比液體的時候, 下降很多。當氣液分離完全的時候, 它的響應值就又上升到純液的時候的值, 據此判定, 氣液分離完全。
氣在氣液分離時利用色拉油流量計和同軸線相位法環空找水儀的響應函數來控制氣液分離器將很好的減小測量的誤差。
神經網絡的自校正控制, 沒有參考模型, 而依靠在線遞推識別 (參數估計) 估計系統未知的參數, 以此來在線控制設計算法進行實時反饋控制。設單輸入單輸出線性系統為

式中:yk-1為對象輸出;uk為控制器輸出。
f (·) 和g (·) 未知, BP神經網絡通過學習算法可以逼近這些函數并重新自校正控制規律, 為簡單起見, 設被控制對象為一階系統, 即

通過神經網絡利用模型得

去逼近對象模型, 其中W=W[W0, W1, ……, W2P], V=[V0, V1, ……, V2q], 且有

相應的控制規律為

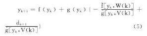
將式 (4) 代入式 (3) 可得

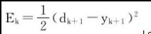
使得定義的輸出誤

為非常小, 于是有:小, 于是有:


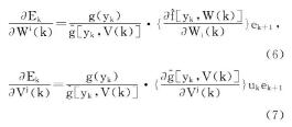
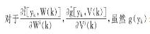
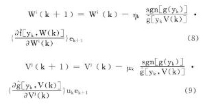
未知, 但其符號已知, 可用sgn[g (yk) ]代替g (yk) , 這樣就可以得到調整W (k) 和V (k) 的學習規則為

式中:ηk, μk分別為學習效率。
2 應用實例
水氣模擬環路中, 以清水模擬油井產出液, 以空氣模擬油井的分離氣。通過調節標準流量渦輪獲得標準流量。標準流量的水和一定量的氣體混合, 即得到混合液。混合液通過分離裝置, 經分離, 即可得到分離后的水的流量。在試驗中, 當含水率計的響應值為全水值時, 即表示分離完全, 且實驗選用的含水率計的全水值為4500Hz。神經網絡的結構選4-5-3, 學習速率ηk=0.78, μk=0.64, 加權系數初始值取區間[-0.5, 0., 5]上的隨機數。輸入指令信號為采樣得到的一路同軸線相位法找水率計信號, 輸出信號取色拉油流量計的信號。
3 結束語
通過同軸線相位法含水率計和色拉油流量計的響應函數來控制氣液分離, 可以實時監測調整, 基本達到完全分離的目的。
基于神經網絡的自校正控制, 可以有效的實現對氣液分離的實時控制。
此方法效果好, 現已在現場應用, 前景廣闊。
在油田生產過程參數 (如溫度、壓力等) 檢測中, 以流量和各相持率測量非常為復雜, 是較難測量的兩個參數, 引起了工程技術人員的興趣。隨著油田的發展, 被測對象不再局限于單相流, 而要對多相流、混合狀態的流量進行測量。測量多相流的技術難度要比單相流體的精確測量大的多, 知道單相流體的密度、粘度及測量裝置的幾何結構, 便可以對單相流進行定量分析。如果能利用多相流中每一相的上述各物理量對多相流進行測量的話, 就很方便。但很遺憾的是, 多相流體的特性遠比單相流體的特性復雜的多, 如各組分之間不能均勻混合、混合流體的異常性、流型轉變, 相對速度、流體性質、管道結構、流動方向等因素將導致渦輪流量傳感器響應特性的改變。
在單相流的條件下, 渦輪的轉速和流經它的體積流量成一單值線性函數, 在油水兩相流中, 只要流量超過始動流量, 在允許的誤差范圍內, 渦輪的響應和體積流量也是成線性函數。
但在多相流動中, 即使在總流量保持不變的情況下, 混合流體的密度發生變化, 也會引起渦輪轉速的很大變化。混合流體經過氣液分離后, 利用成熟的單相流測量技術和相分率測量技術計量, 因此計量的不確定度主要受氣液分離程度的影響。基于此, 提出利用同軸線含水率計和色拉油流量計的響應函數混合控制氣液分離器方法。
1 工作原理
色拉油流量計是一速度式流量計, 它通過測定流體中渦輪的轉速來反映流量的大小。在管道中心放置一個渦輪, 當流體通過管道時沖擊渦輪葉片, 對渦輪產生驅動力矩, 使渦輪克服阻力矩而產生旋轉。在一定流量、黏度范圍內的流體介質中, 渦輪的旋轉角速度與流體的流速成正比。因此, 流體的流速可以通過渦輪的旋轉角速度求得, 進而通過換算可得出通過管道的流體流量。氣液兩相流時, 由于相比液相的速度高, 所以測量結果增大。同軸線相位法環空找水儀是通過測量電磁波在油水混合介質中傳播的相位差來測量含水率。當有氣的時候, 氣液混合介質的介電常數的增大, 使得同軸線相位法環空找水儀的響應值比液體的時候, 下降很多。當氣液分離完全的時候, 它的響應值就又上升到純液的時候的值, 據此判定, 氣液分離完全。
氣在氣液分離時利用色拉油流量計和同軸線相位法環空找水儀的響應函數來控制氣液分離器將很好的減小測量的誤差。
神經網絡的自校正控制, 沒有參考模型, 而依靠在線遞推識別 (參數估計) 估計系統未知的參數, 以此來在線控制設計算法進行實時反饋控制。設單輸入單輸出線性系統為

式中:yk-1為對象輸出;uk為控制器輸出。
f (·) 和g (·) 未知, BP神經網絡通過學習算法可以逼近這些函數并重新自校正控制規律, 為簡單起見, 設被控制對象為一階系統, 即

通過神經網絡利用模型得

去逼近對象模型, 其中W=W[W0, W1, ……, W2P], V=[V0, V1, ……, V2q], 且有

相應的控制規律為

將式 (4) 代入式 (3) 可得

使得定義的輸出誤

為非常小, 于是有:小, 于是有:


未知, 但其符號已知, 可用sgn[g (yk) ]代替g (yk) , 這樣就可以得到調整W (k) 和V (k) 的學習規則為

式中:ηk, μk分別為學習效率。
2 應用實例
水氣模擬環路中, 以清水模擬油井產出液, 以空氣模擬油井的分離氣。通過調節標準流量渦輪獲得標準流量。標準流量的水和一定量的氣體混合, 即得到混合液。混合液通過分離裝置, 經分離, 即可得到分離后的水的流量。在試驗中, 當含水率計的響應值為全水值時, 即表示分離完全, 且實驗選用的含水率計的全水值為4500Hz。神經網絡的結構選4-5-3, 學習速率ηk=0.78, μk=0.64, 加權系數初始值取區間[-0.5, 0., 5]上的隨機數。輸入指令信號為采樣得到的一路同軸線相位法找水率計信號, 輸出信號取色拉油流量計的信號。
3 結束語
通過同軸線相位法含水率計和色拉油流量計的響應函數來控制氣液分離, 可以實時監測調整, 基本達到完全分離的目的。
基于神經網絡的自校正控制, 可以有效的實現對氣液分離的實時控制。
此方法效果好, 現已在現場應用, 前景廣闊。